随着工艺的高速发展和技术的升级迭代,芯片工业正变得日趋庞大复杂,而这一变化也在深刻地改变着数字芯片的设计。如何在芯片制造成本呈现指数型上升,同时上市时间(Time To Market)争分夺秒的今天,正确而高效地完成数字前端的工程实施, 对于无论是设计和验证团队的管理,还是其中的工程方法学,都提出了艰巨的挑战。
在如今的数字芯片前端开发流程中,验证工程师通常需要在整个研发设计周期,与设计工程师一同通力合作达成目标。在主流的基于动态仿真的方法论中,验证工程师在初期就需要对验证框架和环境进行设计和配置,以确保验证能在项目初期就介入设计流程,在项目早期捕捉问题。

图1.动态仿真简例
作为主流的验证方法,动态仿真手段具有很好的泛用性。但在上图中我们也可以观察到这一方法论的缺点:
• 仿真器往往包含多个组件的环境部署,至少包含激励生成器、驱动、DUT、参照模型、监测、检查器
• 需要随机激励生成器生成激励,且只能覆盖较有限的情况
• 依赖参照模型检验DUT生成的波形是否符合预期
在过去的三四十年间,随着形式化验证的技术的成熟,形式方法越来越多地渗透到了越来越多的验证场景中。一个典型的形式验证方法,包含:
• SVA形式规约描述:基于SVA的断言文件
• DUT:RTL设计代码
• 形式检查工具:检查断言和设计的一致性,生成覆盖率和功能验证报告

图2.形式化验证简例
在上图中我们可以看到,一方面,形式验证在验证架构上做了显著的简化,这降低了验证环境搭建的成本并大大提高了安全性;另一方面,当验证未通过时,形式化工具提供了很好的反例路径追溯手段。
除此之外,形式验证还有一个传统手段无可比拟的优势:不同于仿真方法中的激励生成+逐次核对的方式,形式验证在理论上可以覆盖全体状态空间,从而从根源上避免了类似奔腾FDIV的高危隐患。
事实上,在那次臭名昭著的漏洞事件之后,英特尔也开始重视并极为广泛地引入了形式化团队和工具,为自己的芯片设计验证提供强有力支持。
对于现如今对安全性能要求越来越高的数字芯片,这一优势在许多场合无疑是至关重要的。
如果你初次接触形式化验证,「遍历状态空间」这一特性可能会令人困惑而着迷。
我们来举一个经典的例子,来说明形式化方法是如何实现这一看似不可能的任务的。考虑一个多元布尔函数
f:{0,1}ⁿ → {0,1}, (x_1,...x_n) ↦ y
我们尝试用一种称为二元决策树(BDD, Binary Decision Diagram)的数据结构来表示它:

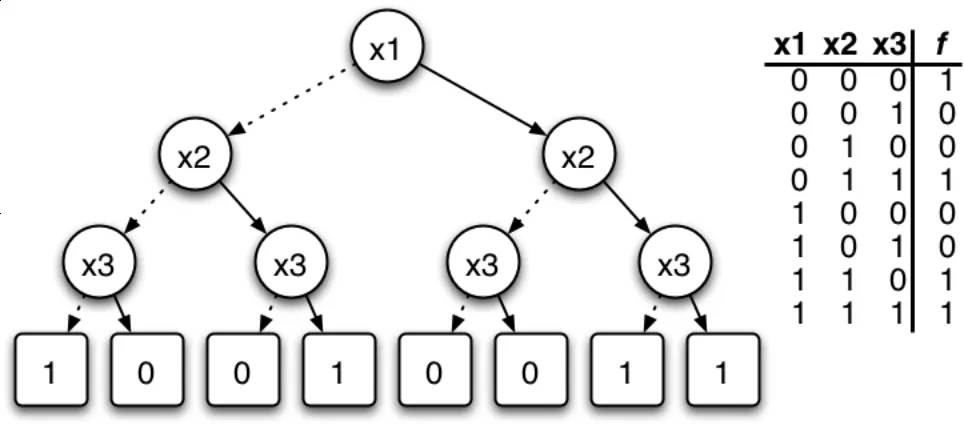
图片来源:维基百科 二元决策图
比如在上图的这个例子中,我们把右侧的用列表形式表示的布尔函数f,用左边的二叉树表示出来。
具体方法为:
1.定义所有布尔变量的一个偏序:比如这里我们定义x_1>x_2>x_3。表现在图上,x_1出现在第一层作为父节点,x_2出现在第二层,以此类推;
2.确定每个叶节点值:每一条到达叶节点的路径,对应函数f的一次取值 —— 当路径从x_i出发后进入其左子树上时,表示参数x_i取值为0,否则为1。叶节点的值即为函数在这条路径对应的(x_i)上的取值。
这样,我们就用一个一棵二叉树表示了f。现在我们的想法是使用算法,在保留所有信息的情况下,对这个图进行简化。比如我们可以反复地使用下面的规则:
1.如果两个节点是叶节点且具有相同的值,或者是内部节点且具有相同的子节点,则将它们合并;
2.如果从内部节点出发且代表1的边和代表0的边指向相同的子节点,则将该节点从图中删除,并将其父节点重定向到子节点。
直至这两条规则无法再被应用,我们最终得到了一个称为既约偏序二元决策图(ROBDD, Reduced Ordered Binary Decision Diagram)的数据结构。在我们的例子中,最终的ROBDD形如下图:

在许多现实情况下,通过ROBDD这一数据结构,大型逻辑电路对应的布尔函数的存储表示得到了简化,从而为RTL综合等流程中的逻辑等价性问题中提供了有力的处理手段。同样的,在功能属性验证问题上,形式方法都采用了各种不同的数据结构和算法,将状态空间进行抽象规约,从而在不丢失信息的情况化简化和解决问题。
当然,由于状态爆炸等问题,形式验证方法在实际使用过程中仍有一些技术和工程限制,目前更多地使用在模块级验证上。在当前先进的验证方法学中,形式方法、动态仿真和硬件加速等方法,正在更为积极地产生交融,取长补短,共同为芯片前端验证提供支持。
目前,望安科技基于k-framework,正着力研发System Verilog语法检查、功能属性验证、数据流安全等功能的芯片形式化验证APP工具。秉持将领先的形式化技术服务深入服务和支持数字芯片研发的信心,我们欢迎广大芯片和EDA厂商与我们联系沟通,合作共赢,在高速发展的芯片行业中抢占领先身位。